Explicación
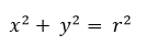
Para graficar una circunferencia a partir de su forma genera x2 + y2 + Dx + Ey + F = 0, es necesario que se determinen las coordenadas del centro y el valor del radio a partir de esta expresión, para las coordenadas del centro C(h,k) se tiene lo siguiente:
h = -D/2; y k = -E/2
Y para el radio se utiliza la fórmula: r2 = (D/2)2 + (E/2)2 - F
Por ejemplo, vamos a graficar la circunferencia x2 + y2 - 2x + 4y - 4 = 0; de esta expresión se desprende que D = -2; E = 4 y F = -4
Por lo tanto, h = -(-2)/2 = 1; k = - 4/2 = -2 y r2 = (1)2 + (2)2 - (-4) = 1 + 4 + 4 = 9
Es decir; C(1,-2) r= 3

Fuente: Elaboración propia